Đức anh Triệu
Hỏi từ APP VIETJACK
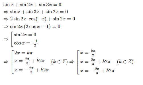
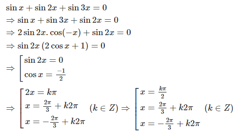
Sinx + Sin2x + Sin3x=0
Quảng cáo
2 câu trả lời 1353
Quảng cáo
Bạn muốn hỏi bài tập?
Câu hỏi hot cùng chủ đề
Gửi báo cáo thành công!


