Quảng cáo
5 câu trả lời 8497
2 năm trước
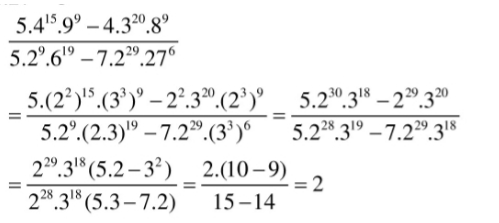
B=
10 19 29 6
15 9 20 9
5.2 .6 7.2 .27
5.4 .9 4.3 .8
−
−
= 10 19 19 29 3.6
2.15 2.9 2 20 3.9
5.2 .2 .3 7.2 .3
5.2 .3 2 .3 .2
−
−
=
30 18 2 20 27
29 19 29 18
5.2 .3 2 .3 .2
5.2 .3 7.2 .3
−
−
=
29 18 2
29 18
2 .3 (5.2 3 )
2 .3 (5.3 7)
−
−
=
10 9 1
15 7 8
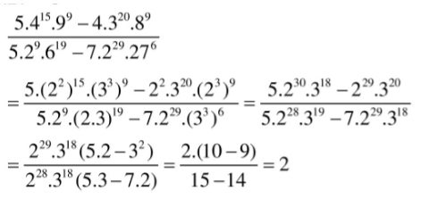
10 19 29 6
15 9 20 9
5.2 .6 7.2 .27
5.4 .9 4.3 .8
−
−
= 10 19 19 29 3.6
2.15 2.9 2 20 3.9
5.2 .2 .3 7.2 .3
5.2 .3 2 .3 .2
−
−
=
30 18 2 20 27
29 19 29 18
5.2 .3 2 .3 .2
5.2 .3 7.2 .3
−
−
=
29 18 2
29 18
2 .3 (5.2 3 )
2 .3 (5.3 7)
−
−
=
10 9 1
15 7 8
Quảng cáo
Bạn muốn hỏi bài tập?
Câu hỏi hot cùng chủ đề
-
Hỏi từ APP VIETJACK120761
-
81498
-
59515
Gửi báo cáo thành công!


.
Đây bạn