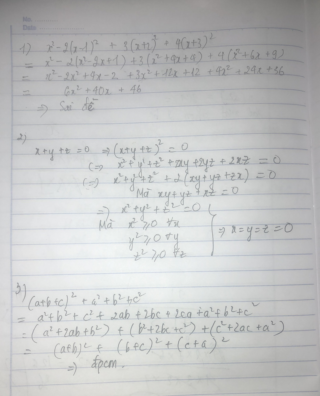
Bài 1: CM rằng biểu thức sau viết dưới dạng tổng các bình phương của 2 biểu thức: x²-2(x-1)²+3(x+2)²+4(x+3)²
Bài 2: Cho x+y+z=0, xy+yz+zx=0. CM: x=y=z
Bài 3: CM hàng đẳng thức sau:
(a+b+c)²+a²+b²+c²=(a+b)²+(b+c)²+(c+a)²
Quảng cáo
2 câu trả lời 560
Quảng cáo
Bạn cần hỏi gì?
Câu hỏi hot cùng chủ đề
-
107437
-
Hỏi từ APP VIETJACK
Đã trả lời bởi chuyên gia
68061 -
Đã trả lời bởi chuyên gia
52846 -
Đã trả lời bởi chuyên gia
47344 -
Đã trả lời bởi chuyên gia
45400 -
Đã trả lời bởi chuyên gia
45045 -
Hỏi từ APP VIETJACK
Đã trả lời bởi chuyên gia
38412 -
Đã trả lời bởi chuyên gia
38191
Gửi báo cáo thành công!

