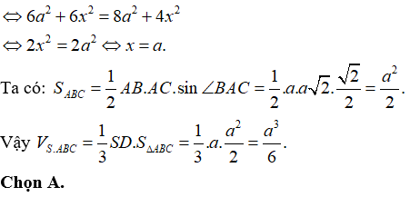
Cho hình chóp S.ABC đáy là tam giác ABC có AB=a, AC= và , tam giác SAB vuông tại B và tam giác SAC vuông tại A. Biết góc giữa hai mặt phẳng (SAC) và (SAB) bằng 30. Tính thể tích khối chóp S.ABC
Quảng cáo
1 câu trả lời 3469
Quảng cáo
Bạn cần hỏi gì?
Câu hỏi hot cùng chủ đề
-
Hỏi từ APP VIETJACK
Đã trả lời bởi chuyên gia
129652 -
Đã trả lời bởi chuyên gia
104087 -
Đã trả lời bởi chuyên gia
94063 -
Đã trả lời bởi chuyên gia
69340
Gửi báo cáo thành công!




