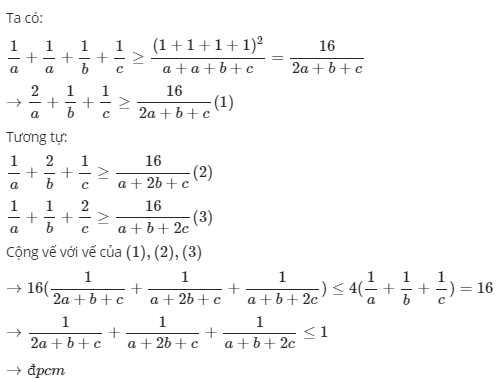
Áp dụng bất đẳng thức Svac-xơ cho a, b, c ≥ 0 thỏa mãn: , chứng minh:
Quảng cáo
1 câu trả lời 1293
Quảng cáo
Bạn muốn hỏi bài tập?
Câu hỏi hot cùng chủ đề
-
107151
-
Hỏi từ APP VIETJACK67580
-
44957
-
38162
Gửi báo cáo thành công!

