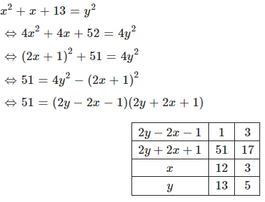
Tìm các cặp số nguyên dương (x;y) thỏa mãn phương trình:
Quảng cáo
1 câu trả lời 1062
Quảng cáo
Bạn muốn hỏi bài tập?
Câu hỏi hot cùng chủ đề
-
107151
-
Hỏi từ APP VIETJACK67580
-
44957
-
38162
Gửi báo cáo thành công!

