Giải phương trình:
a) (3x-1)(2x-5)=(3x-1)(x+2)
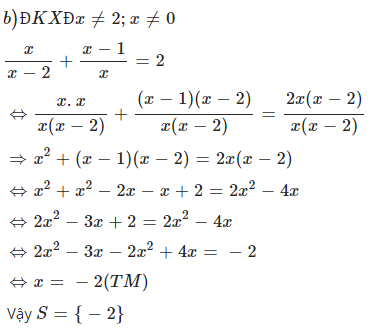
b)
Quảng cáo
1 câu trả lời 3497
Quảng cáo
Bạn muốn hỏi bài tập?
Câu hỏi hot cùng chủ đề
-
107278
-
Hỏi từ APP VIETJACK67830
-
44998
-
38171
Gửi báo cáo thành công!


