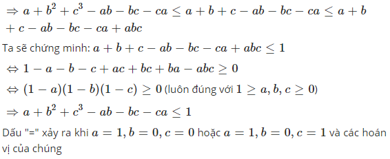
Cho các số a, b, c thỏa mãn 1 ≥a, b, c ≥0. Chứng minh rằng: a + – ab – bc – ca ≤1
Quảng cáo
1 câu trả lời 2480
Quảng cáo
Bạn muốn hỏi bài tập?
Câu hỏi hot cùng chủ đề
-
107151
-
Hỏi từ APP VIETJACK67580
-
44957
-
38162
Gửi báo cáo thành công!

