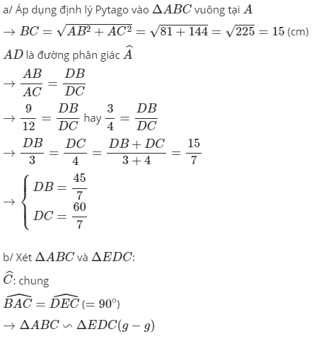
Cho ΔABC vuông tại A, có AB = 9cm, AC = 12cm. Tia phân giác góc A cắt BC tại D, từ D kẻ DE vương góc với AC (E thuộc AC)
a) Tính độ dài BD và CD
b) Chứng minh: ΔABC đồng dạng ΔEDC. Tính DE.
c) Chứng minh: BD.EC = DC.ED
d) Tính tỉ số =?
Quảng cáo
1 câu trả lời 19830
Quảng cáo
Bạn muốn hỏi bài tập?
Câu hỏi hot cùng chủ đề
-
107278
-
Hỏi từ APP VIETJACK67830
-
44998
-
38171
Gửi báo cáo thành công!



