Hai thư viện có cả thảy 15000 cuốn sách. Nếu chuyển từ thư viện thứ nhất sang thư viện thứ hai 3000 cuốn, thì số sách của hai thư viện bằng nhau. Tính số sách lúc đầu ở mỗi thư viện.
Quảng cáo
2 câu trả lời 15637
Giải bài toán số sách ở hai thư viện
Phân tích bài toán
Gọi:
- x là số sách ban đầu ở thư viện thứ nhất,
- y là số sách ban đầu ở thư viện thứ hai.
Theo giả thiết: 1. Tổng số sách của hai thư viện là 15000 cuốn:
x + y = 15000.
2. Sau khi chuyển cuốn sách từ thư viện thứ nhất sang thư viện thứ hai, số sách của hai thư viện bằng nhau:
x - 3000 = y + 3000.
Giải hệ phương trình
Từ phương trình (2), ta rút gọn:
x - y = 6000.
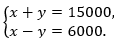
Vậy ta có hệ phương trình:
![]()
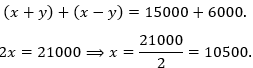
Bước 1: Cộng hai phương trình
Cộng vế theo vế của (1) và (2):

Bước 2: Tìm y
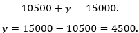
Thay x = 10500 vào phương trình :
![]()
Kết luận
Số sách ban đầu ở mỗi thư viện là:
![]()
Lời giải:
Gọi số sách lúc đầu ở thư viện I là x (cuốn), x nguyên, dương.
Số sách lúc đầu ở thư viện II là: 15000 – x (cuốn)
Sau khi chuyển số sách ở thư viện I là: x – 3000 (cuốn)
Sau khi chuyển số sách ở thư viện II là:
(15000 – x)+ 3000 = 18000-x (cuốn)
Vì sau khi chuyển số sách 2 thư viện bằng nhau nên ta có phương trình:
x – 3000 = 18000 – x
...
Xem thêm: https://toploigiai.vn/chuyen-de-giai-toan-bang-cach-lap-phuong-trinh-lop-8-co-dap-an
Quảng cáo
Bạn cần hỏi gì?
Câu hỏi hot cùng chủ đề
-
107593
-
Hỏi từ APP VIETJACK
Đã trả lời bởi chuyên gia
68300 -
Đã trả lời bởi chuyên gia
52884 -
Đã trả lời bởi chuyên gia
47390 -
Đã trả lời bởi chuyên gia
45461 -
Đã trả lời bởi chuyên gia
45109 -
Hỏi từ APP VIETJACK
Đã trả lời bởi chuyên gia
38488 -
Đã trả lời bởi chuyên gia
38230
