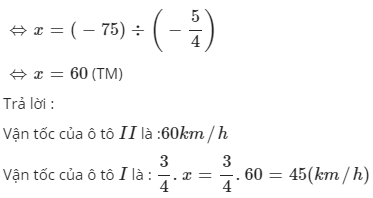
Hai ô tô khởi hành cùng một lúc từ A đến B. Vận tốc ô tô I bằng 3 phần 4 vận tốc ô tô II. Nếu ô tô I tăng vận tốc 5km/h, còn ô tô II giảm vận tốc 5km/h thì sau 5 giờ quãng đường ô tô I đi được ngắn hơn quãng đường ô tô II đã đi là 25km. Tính vận tốc của mỗi ô tô.
Quảng cáo
1 câu trả lời 3509
Quảng cáo
Bạn muốn hỏi bài tập?
Câu hỏi hot cùng chủ đề
-
107278
-
Hỏi từ APP VIETJACK67830
-
44998
-
38171
Gửi báo cáo thành công!


