Cho ABC có AB = 5cm, BC = 8cm, AC = 7cm. Lấy điểm D nằm trên cạnh BC sao cho BD = 2cm. Qua D kẻ các đường thẳng song song với AB và AC, cắt AC và AB lần lượt tại F và E.
a) Chứng minh BDE DCF.
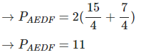
b) Tính chu vi tứ giác AEDF.
Quảng cáo
2 câu trả lời 7516
Quảng cáo
Bạn cần hỏi gì?
Câu hỏi hot cùng chủ đề
-
112455
-
Hỏi từ APP VIETJACK
Đã trả lời bởi chuyên gia
73067 -
Đã trả lời bởi chuyên gia
54144 -
Đã trả lời bởi chuyên gia
48412 -
Đã trả lời bởi chuyên gia
47377 -
Đã trả lời bởi chuyên gia
46627 -
Hỏi từ APP VIETJACK
Đã trả lời bởi chuyên gia
41318 -
Đã trả lời bởi chuyên gia
39328
Gửi báo cáo thành công!



