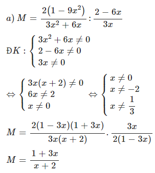
Cho biểu thức:
a, Rút gọn M.
b, Tìm các giá trị nguyên của x để M có giá trị nguyên.
Quảng cáo
1 câu trả lời 3088
4 năm trước


Quảng cáo
Bạn muốn hỏi bài tập?
Câu hỏi hot cùng chủ đề
-
107278
-
Hỏi từ APP VIETJACK67830
-
44998
-
38171
Gửi báo cáo thành công!
