Giải phương trình:
Quảng cáo
2 câu trả lời 6065
4 năm trước
Bài toán:
Giải phương trình:
![]()
Giải chi tiết:
Bước 1: Phân tích đa thức
Ta nhận thấy phương trình:
![]()
có thể đặt nhân tử chung là :
![]()
Bước 2: Giải các nhân tử
Phương trình sẽ có hai phần:
- x = 0,

Bước 3: Giải phương trình bậc hai x2 - 5x + 6 = 0
Phương trình bậc hai:
![]()
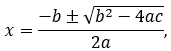
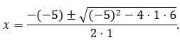
Áp dụng công thức nghiệm của phương trình bậc hai:

với a = 1, b = -5, c = 6. Ta có:

Rút gọn:

Giải hai trường hợp:
Bước 4: Kết luận nghiệm
Kết hợp các nghiệm đã tìm được, phương trình có các nghiệm là:
![]()
Quảng cáo
Bạn cần hỏi gì?
Câu hỏi hot cùng chủ đề
-
107437
-
Hỏi từ APP VIETJACK
Đã trả lời bởi chuyên gia
68061 -
Đã trả lời bởi chuyên gia
52846 -
Đã trả lời bởi chuyên gia
47344 -
Đã trả lời bởi chuyên gia
45400 -
Đã trả lời bởi chuyên gia
45045 -
Hỏi từ APP VIETJACK
Đã trả lời bởi chuyên gia
38412 -
Đã trả lời bởi chuyên gia
38191
Gửi báo cáo thành công!
