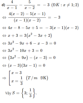
Giải phương trình:
Quảng cáo
1 câu trả lời 7936
4 năm trước

MAU Nguyen
· 1 năm trước
j sai sai phải ko
Yuii Yy
· 1 năm trước
ờ cx thấy z
Quảng cáo
Bạn muốn hỏi bài tập?
Câu hỏi hot cùng chủ đề
-
107278
-
Hỏi từ APP VIETJACK67830
-
44998
-
38171
Gửi báo cáo thành công!
