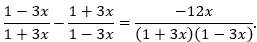
Giải phương trình:
Quảng cáo
2 câu trả lời 15443
Giải chi tiết:
Bước 1: Điều kiện xác định
Để phương trình xác định, mẫu số không được bằng 0. Do đó:
![]()
và

Kết luận:
.
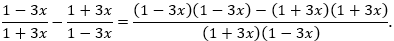
Bước 2: Rút gọn vế phải
Vế phải là:
![]()
Quy đồng mẫu số:
![]()
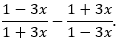
Khai triển tử số:
![]()
Rút gọn:
![]()
Do đó:
![]()
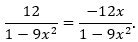
Bước 3: Phương trình sau rút gọn
Phương trình trở thành:
![]()
Mẫu số hai vế giống nhau, nên ta so sánh tử số:
12 = -12x
Giải:
x = -1
Bước 4: Kiểm tra điều kiện xác định
Điều kiện xác định:
. Giá trị x = -1 thỏa mãn điều kiện này.
Nghiệm của phương trình là:
![]()
Giải chi tiết:
Bước 1: Điều kiện xác định
Để phương trình xác định, mẫu số không được bằng 0. Do đó:
và
Kết luận: .
Bước 2: Rút gọn vế phải
Vế phải là:
Quy đồng mẫu số:
Khai triển tử số:
Rút gọn:
Do đó:
Bước 3: Phương trình sau rút gọn
Phương trình trở thành:
Mẫu số hai vế giống nhau, nên ta so sánh tử số:
12 = -12x
Giải:
x = -1
Bước 4: Kiểm tra điều kiện xác định
Điều kiện xác định: . Giá trị x = -1 thỏa mãn điều kiện này.
Nghiệm của phương trình là:
Quảng cáo
Bạn muốn hỏi bài tập?
Câu hỏi hot cùng chủ đề
-
107437
-
Hỏi từ APP VIETJACK
Đã trả lời bởi chuyên gia
68061 -
Đã trả lời bởi chuyên gia
52846 -
Đã trả lời bởi chuyên gia
47344 -
Đã trả lời bởi chuyên gia
45400 -
Đã trả lời bởi chuyên gia
45045 -
Hỏi từ APP VIETJACK
Đã trả lời bởi chuyên gia
38412 -
Đã trả lời bởi chuyên gia
38191
