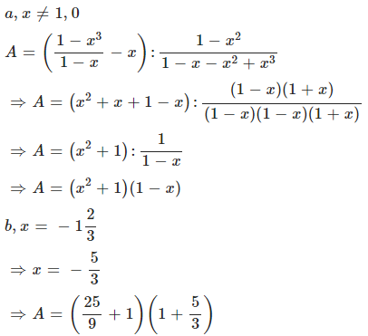
Cho biểu thức
a) Rút gọn biểu thức A.
b) Tính giá trị của biểu thức A tại
c) Tìm giá trị của x để A<0
Quảng cáo
1 câu trả lời 13786
Quảng cáo
Bạn muốn hỏi bài tập?
Câu hỏi hot cùng chủ đề
-
107151
-
Hỏi từ APP VIETJACK67580
-
44957
-
38162
Gửi báo cáo thành công!


