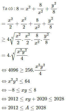
Cho hai số thực x, y khác 0 thỏa mãn . Tìm min, max của
Quảng cáo
1 câu trả lời 2791
Quảng cáo
Bạn muốn hỏi bài tập?
Câu hỏi hot cùng chủ đề
-
107151
-
Hỏi từ APP VIETJACK67580
-
44957
-
38162
Gửi báo cáo thành công!


