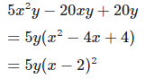
Phân tích đa thức thành nhân tử:
Quảng cáo
2 câu trả lời 1519
2 năm trước
Mik ko biết làm các bạn giúp mik với mik cảm ơn các bạn nhiều nha
Quảng cáo
Bạn muốn hỏi bài tập?
Câu hỏi hot cùng chủ đề
-
107278
-
Hỏi từ APP VIETJACK67830
-
44998
-
38171
Gửi báo cáo thành công!

