Giải phương trình:
Quảng cáo
1 câu trả lời 9101
Giải phương trình: x4 + x2 + 6x - 8 = 0
Bước 1: Biến đổi phương trình
![]()
Ta thêm và bớt các số hạng thích hợp để dễ phân tích:
![]()
Nhóm các số hạng thành hai phần:
![]()
Chú ý rằng:
![]()
Do đó phương trình trở thành:

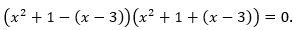
Bước 2: Sử dụng hằng đẳng thức hiệu hai bình phương Áp dụng hằng đẳng thức:
![]()
với
và
, ta được:
![]()
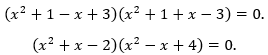
Rút gọn mỗi biểu thức trong dấu ngoặc:

Bước 3: Xét từng nhân tử Phương trình có hai nhân tử:
- Với x2 - x + 4: Đây là một phương trình bậc hai có biệt số:
![]()
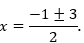
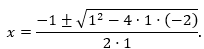
Vì biệt số âm nên x2 - x + 4 > 0 . Do đó phương trình này không có nghiệm thực. - Với x2 + x - 2 = 0: Đây là phương trình bậc hai có nghiệm:
![]()
Với a = 1, b = 1, c = -2 ta tính:
![]()
![]()

Ta có hai nghiệm:
![]()
Bước 4: Kết luận nghiệm của phương trình Vậy phương trình có tập nghiệm:
![]()
Quảng cáo
Bạn muốn hỏi bài tập?
Câu hỏi hot cùng chủ đề
-
107278
-
Hỏi từ APP VIETJACK67830
-
44998
-
38171
