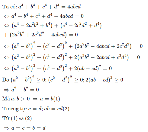
Cho = 4abcd. Chứng minh: a=b=c=d
Quảng cáo
1 câu trả lời 2143
Quảng cáo
Bạn cần hỏi gì?
Câu hỏi hot cùng chủ đề
-
111106
-
Hỏi từ APP VIETJACK
Đã trả lời bởi chuyên gia
71162 -
Đã trả lời bởi chuyên gia
53828 -
Đã trả lời bởi chuyên gia
48143 -
Đã trả lời bởi chuyên gia
46630 -
Đã trả lời bởi chuyên gia
46325 -
Hỏi từ APP VIETJACK
Đã trả lời bởi chuyên gia
40742 -
Đã trả lời bởi chuyên gia
39020
Gửi báo cáo thành công!

