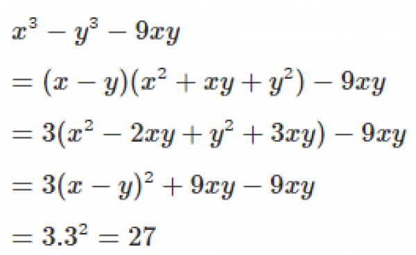
Cho x − y = 3. Tính giá trị biểu thức
Vũ Bảo Lâm
· 4 năm trước
Tự trả lời mình thì mod cái db
Vũ Bảo Lâm
· 4 năm trước
Ăn cc
Quảng cáo
2 câu trả lời 784
Mày giỏi, mày lớn hơn tao 1 tuổi, nè. Cướp ID Miniworld của tao á
Quảng cáo
Bạn cần hỏi gì?
Câu hỏi hot cùng chủ đề
-
107593
-
Hỏi từ APP VIETJACK
Đã trả lời bởi chuyên gia
68300 -
Đã trả lời bởi chuyên gia
52884 -
Đã trả lời bởi chuyên gia
47390 -
Đã trả lời bởi chuyên gia
45461 -
Đã trả lời bởi chuyên gia
45109 -
Hỏi từ APP VIETJACK
Đã trả lời bởi chuyên gia
38488 -
Đã trả lời bởi chuyên gia
38230
Gửi báo cáo thành công!

