Quảng cáo
2 câu trả lời 6445
Bước 1: Sử dụng phương pháp thử nghiệm nghiệm nguyên
Đa thức P(x) có bậc 3, nên chúng ta có thể áp dụng định lý về nghiệm của đa thức để tìm nghiệm nguyên.
Hệ số tự do của P(x) là 16, và hệ số của x3 là 1. Do đó, các nghiệm nguyên x0 (nếu có) phải là ước của 16:
![]()
Thử x = 2:
![]()
Vậy x = 2 là một nghiệm của P(x).
Bước 2: Chia đa thức P(x) cho (x - 2)
Ta thực hiện phép chia đa thức P(x) cho (x - 2) bằng phương pháp chia đa thức.
Đa thức P(x) = x3 - 9x2 + 6x + 16 được chia cho (x - 2):

Vậy:
![]()
Bước 3: Phân tích tiếp x2 - 7x - 8 thành nhân tử
Xét đa thức bậc hai:
x2 - 7x - 8
Áp dụng công thức nghiệm:
![]()
Tính:
![]()
Vậy:

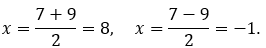
Hai nghiệm:
![]()
Do đó:
![]()
Bước 4: Kết luận
Đa thức P(x) được phân tích thành:
![]()
Kết luận:
Phân tích thành nhân tử của đa thức là:
![]()
Quảng cáo
Bạn muốn hỏi bài tập?
Câu hỏi hot cùng chủ đề
-
107278
-
Hỏi từ APP VIETJACK67830
-
44998
-
38171

