Quảng cáo
7 câu trả lời 421
..
dangt.7_
· 6 tháng trước
sr chu t 6
dangt.7_
· 6 tháng trước
kbt thì hỏi t
𓆰♕𓆪
· 6 tháng trước
sai r
dan.vy.so.cte
· 6 tháng trước
ngauuuu
dangt.7_
· 6 tháng trước
u tu lam t dech qt
dan.vy.so.cte
· 6 tháng trước
đúng mà???
dangt.7_
· 6 tháng trước
ngáo l í
dangt.7_
· 6 tháng trước
lop12 đi cãi t?
dangt.7_
· 6 tháng trước
lop12 mà hỏi ngu v
dangt.7_
· 6 tháng trước
đây để anh cho em dap an nha
dangt.7_
· 6 tháng trước
khổ
𓆰♕𓆪
· 6 tháng trước
bà cô t đưa kq là 4 và -6
𓆰♕𓆪
· 6 tháng trước
trl mấy đứa kiid met tht
dangt.7_
· 6 tháng trước
mẹ m
dangt.7_
· 6 tháng trước
đưa cô đáp án t
dangt.7_
· 6 tháng trước
hỏi đi
dangt.7_
· 6 tháng trước
kid clmm
𓆰♕𓆪
· 6 tháng trước
ok
dangt.7_
· 6 tháng trước
cả cô voi trò ngáo hết r à
dangt.7_
· 6 tháng trước
xin cái truong m học đi
𓆰♕𓆪
· 6 tháng trước
bà cô t dạy tử lớp 1 đến lớp 12
𓆰♕𓆪
· 6 tháng trước
hỏi t sợ sai nữa:)
dangt.7_
· 6 tháng trước
?
dangt.7_
· 6 tháng trước
thac mac thì ph hỏi
dangt.7_
· 6 tháng trước
hay m nhìn nhầm đáp án bài khác v
dangt.7_
· 6 tháng trước
hỏi đi r tí bảo t
dangt.7_
· 6 tháng trước
gv gì mà dạy tu lop 1-12 t chịu
Ngân
· 6 tháng trước
th @bá vương 7A15 ngáo cmnr
Ngân
· 6 tháng trước
cãi ngu vl
𓆰♕𓆪
· 6 tháng trước
dạy trung tâm mà
dangt.7_
· 6 tháng trước
thế có dk
𓆰♕𓆪
· 6 tháng trước
de t chep vo hỏi cô thử
10
𓆰♕𓆪
· 6 tháng trước
t cần cách làm:(
dan.vy.so.cte
· 6 tháng trước
e ko bt ạ
𓆰♕𓆪
· 6 tháng trước
nói chúng là kq sai r
dan.vy.so.cte
· 6 tháng trước
dạ =))))
dangt.7_
· 6 tháng trước
k9 kbt làm toán l7 lsao>
dan.vy.so.cte
· 6 tháng trước
???
𓆰♕𓆪
· 6 tháng trước
T nói r
dan.vy.so.cte
· 6 tháng trước
nhma ra 10 tht
𓆰♕𓆪
· 6 tháng trước
T dell lớp 7🤬
dangt.7_
· 6 tháng trước
u ra 10 tht
𓆰♕𓆪
· 6 tháng trước
T thích đặt lớp 7 ấy,
dan.vy.so.cte
· 6 tháng trước
=)))))
𓆰♕𓆪
· 6 tháng trước
T lớp 12:₫
dangt.7_
· 6 tháng trước
u kmm
dangt.7_
· 6 tháng trước
t xoa ctrl v
dan.vy.so.cte
· 6 tháng trước
cute=)))
𓆰♕𓆪
· 6 tháng trước
Buổi chiều t mới đi
dan.vy.so.cte
· 6 tháng trước
ohhhh
ok
𓆰♕𓆪
· 6 tháng trước
dm
𓆰♕𓆪
· 6 tháng trước
dell giai thi dung trl
huy
· 6 tháng trước
bằng 10
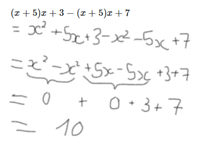
Ta có biểu thức:
(x + 5)x + 3 - (x + 5)x + 7
Bước 1: Nhóm các hạng tử giống nhau:
(x+5)x - (x+5)x + 3 + 7
Bước 2: Hai hạng tử ((x+5)x - (x+5)x = 0)
Còn lại: (3 + 7 = 10)
Kết quả: 10
https://hoidapvietjack.com/q/1917264/yeu-mot-nguoi-hon-tuoi-minh-thi-to-tinh-kieu-gi-a
m là ai?nhìn acc quen nm t ko nhớ
𓆰♕𓆪
· 6 tháng trước
t cũng là ng yêu hơn tuổi mình đấy
𓆰♕𓆪
· 6 tháng trước
nhớ chưa
Ngân
· 6 tháng trước
????
Ngân
· 6 tháng trước
là s-))
Ngân
· 6 tháng trước
k nhớ
Ngân
· 6 tháng trước
''ng yêu hơn tuổi mình''→là sao?
𓆰♕𓆪
· 6 tháng trước
t thích 2 ông một ông 47 và một ông 44
Ngân
· 6 tháng trước
47 vs 44 là s-))
Ngân
· 6 tháng trước
m gay à
𓆰♕𓆪
· 6 tháng trước
:|||
яəlивa
· 5 tháng trước
hh
яəlивa
· 5 tháng trước
ý là nó thik 1 ng 44 tuổi vs 1 ng 47 tuổi
𓆰♕𓆪
· 5 tháng trước
í là thích nói chuyện,yêu cái tính nết
𓆰♕𓆪
· 5 tháng trước
bị ji zậy?
𓆰♕𓆪
· 5 tháng trước
??
Ngân
· 5 tháng trước
m chửi t m còn giả nai??
Quảng cáo
Bạn cần hỏi gì?
Câu hỏi hot cùng chủ đề
-
Hỏi từ APP VIETJACK
Đã trả lời bởi chuyên gia
130101 -
Đã trả lời bởi chuyên gia
104648 -
Đã trả lời bởi chuyên gia
94548 -
Đã trả lời bởi chuyên gia
71761
Gửi báo cáo thành công!

