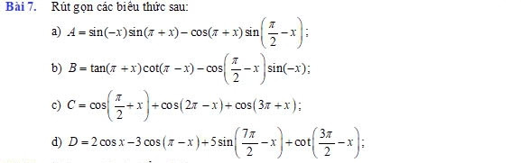
rút gọn biểu thức sau
Quảng cáo
3 câu trả lời 341
Để rút gọn biểu thức \(\frac{1}{\tan a} + 1 + \frac{1}{\cot a} + 1\), ta cần thực hiện các bước sau:
### Bước 1: Thay thế các hàm số lượng giác
Biểu thức là:
\[
\frac{1}{\tan a} + 1 + \frac{1}{\cot a} + 1
\]
Nhớ rằng:
\[
\cot a = \frac{1}{\tan a}
\]
và do đó:
\[
\frac{1}{\cot a} = \tan a
\]
### Bước 2: Thay thế và đơn giản hóa
Thay \(\frac{1}{\cot a}\) bằng \(\tan a\):
\[
\frac{1}{\tan a} + 1 + \tan a + 1
\]
Nhóm các số hạng:
\[
\frac{1}{\tan a} + \tan a + 2
\]
### Bước 3: Rút gọn biểu thức
Biểu thức \(\frac{1}{\tan a} + \tan a\) có thể được rút gọn bằng cách cộng các phần tử này lại, tuy nhiên nó không thể được rút gọn thêm theo dạng đơn giản hơn vì đây là một tổng của một phân số và hàm lượng giác. Do đó, biểu thức rút gọn tối đa của nó là:
\[
\frac{1}{\tan a} + \tan a + 2
\]
### Kết luận
Biểu thức rút gọn của \(\frac{1}{\tan a} + 1 + \frac{1}{\cot a} + 1\) là:
\[
\frac{1}{\tan a} + \tan a + 2
\]
`1/tan a + 1` `+`` 1/cot a + 1`
`=`` cot a + 1 / (tan a + 1)(cot a + 1) + tan a + 1 / (tan a + 1)(cot a + 1)`
`=` `Cot a+1+tan a+1/tan a . cot a + tan a+ cot a + 1`
`=` `Cot a + tan a + 2/ 1 + tan a + cot a + 1`
`= 1`
Quảng cáo
Bạn cần hỏi gì?
Câu hỏi hot cùng chủ đề
-
Đã trả lời bởi chuyên gia
134941 -
Hỏi từ APP VIETJACK
Đã trả lời bởi chuyên gia
76171 -
Đã trả lời bởi chuyên gia
71773 -
Đã trả lời bởi chuyên gia
47616
