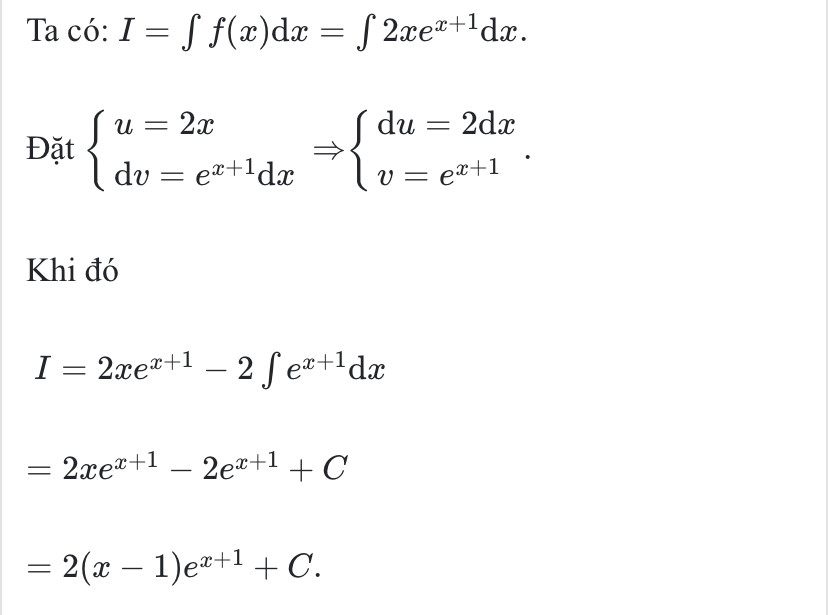
họ của nguyên hàn f(x)=2xe^x+1
Quảng cáo
1 câu trả lời 164
Quảng cáo
Bạn cần hỏi gì?
Câu hỏi hot cùng chủ đề
-
Hỏi từ APP VIETJACK
Đã trả lời bởi chuyên gia
130212 -
Đã trả lời bởi chuyên gia
104808 -
Đã trả lời bởi chuyên gia
94656 -
Đã trả lời bởi chuyên gia
72257
Gửi báo cáo thành công!


