Jack cần cù
Hỏi từ APP VIETJACK
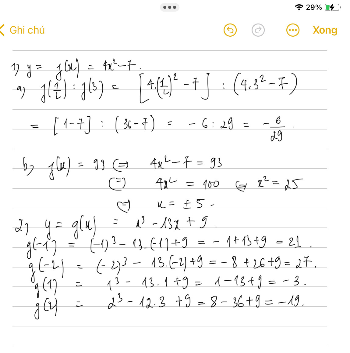
1/ Cho hàm số y = f(x) = 4x^2 -7
a/ Tính f (1/2):f(3).
b/ Biết f(x) = 93 , tìm x
2/ Hàm số y = g(x) = x^3 -13x+9
Tính g(-1);g(-2);g(1);g(2).
a/ Tính f (1/2):f(3).
b/ Biết f(x) = 93 , tìm x
2/ Hàm số y = g(x) = x^3 -13x+9
Tính g(-1);g(-2);g(1);g(2).
Quảng cáo
1 câu trả lời 824
Quảng cáo
Bạn muốn hỏi bài tập?
Câu hỏi hot cùng chủ đề
-
107151
-
Hỏi từ APP VIETJACK67580
-
44957
-
38162
Gửi báo cáo thành công!
