Quảng cáo
2 câu trả lời 7110
Rút gọn biểu thức lượng giác
Biểu thức cần rút gọn:
![]()
Sử dụng công thức nhân đôi tích của sin
Công thức tích của hai hàm sin:
![]()
Áp dụng cho từng cặp:
- Cặp thứ nhất:
.
Với a = x + 14o và b = x + 74o, ta có:
Rút gọn:
Ta có
, nên:

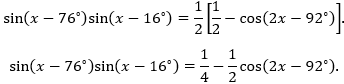
- Cặp thứ hai:
.
Với a = x - 76o và b = x - 16o, ta có:
Rút gọn:
Ta có
, nên:
Cộng hai biểu thức
Biểu thức A trở thành:
![]()
Rút gọn:

Sử dụng công thức cộng của cos
Công thức cộng của cos:
![]()
Với A = 2x + 88o và B = 2x - 92o, ta tính:
![]()
![]()
Do đó:
![]()
Ta có cos(90o) = 0, nên:
![]()
Kết luận
Thay vào biểu thức A, ta có:
![]()
Vậy:
![]()
Biểu thức đã được rút gọn là A=1/4−1/2cos(2x−62∘)
Quảng cáo
Bạn cần hỏi gì?
Câu hỏi hot cùng chủ đề
-
Đã trả lời bởi chuyên gia
135741 -
Hỏi từ APP VIETJACK
Đã trả lời bởi chuyên gia
76779 -
Đã trả lời bởi chuyên gia
72436 -
Đã trả lời bởi chuyên gia
47929
Gửi báo cáo thành công!
