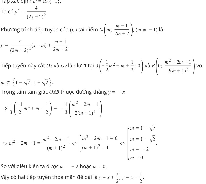
Em muốn hỏi là y=x-1/-2 rồi một hồi phân tích y=-1/2x+1/2 sao ra được ạ ai giải thích hộ với ạ
Quảng cáo
1 câu trả lời 411
Quảng cáo
Bạn cần hỏi gì?
Câu hỏi hot cùng chủ đề
-
Hỏi từ APP VIETJACK
Đã trả lời bởi chuyên gia
129637 -
Đã trả lời bởi chuyên gia
104061 -
Đã trả lời bởi chuyên gia
94054 -
Đã trả lời bởi chuyên gia
69272
Gửi báo cáo thành công!

