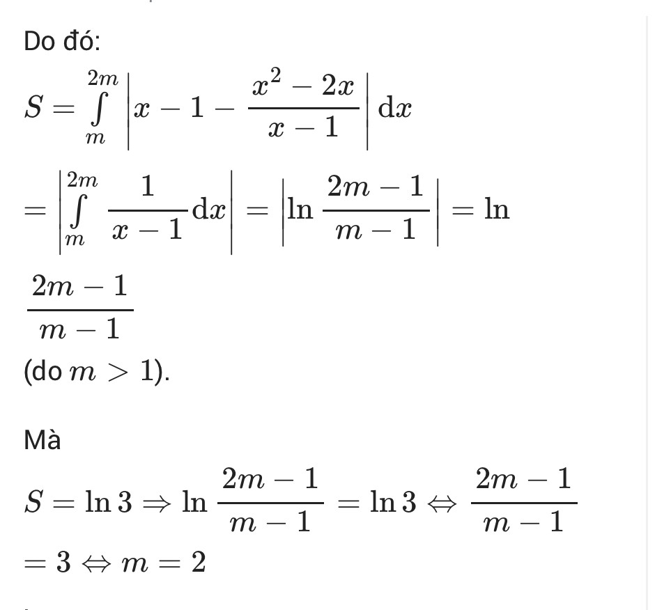
Gọi S là diện tích hình phẳng giới hạn bởi đồ thị hàm số y= x^2 - 2x / x - 1, đường thẳng y = x - 1 và các đường thẳng x = m, x = 2m ( m>1 ). Giá trị của m sao cho S = ln3 là?
Giúp mình với ạ. Mình cảm ơn (´。• ᵕ •。`) ♡
Giúp mình với ạ. Mình cảm ơn (´。• ᵕ •。`) ♡
Quảng cáo
1 câu trả lời 2048
Quảng cáo
Bạn cần hỏi gì?
Câu hỏi hot cùng chủ đề
-
Hỏi từ APP VIETJACK
Đã trả lời bởi chuyên gia
129637 -
Đã trả lời bởi chuyên gia
104061 -
Đã trả lời bởi chuyên gia
94054 -
Đã trả lời bởi chuyên gia
69272
Gửi báo cáo thành công!



