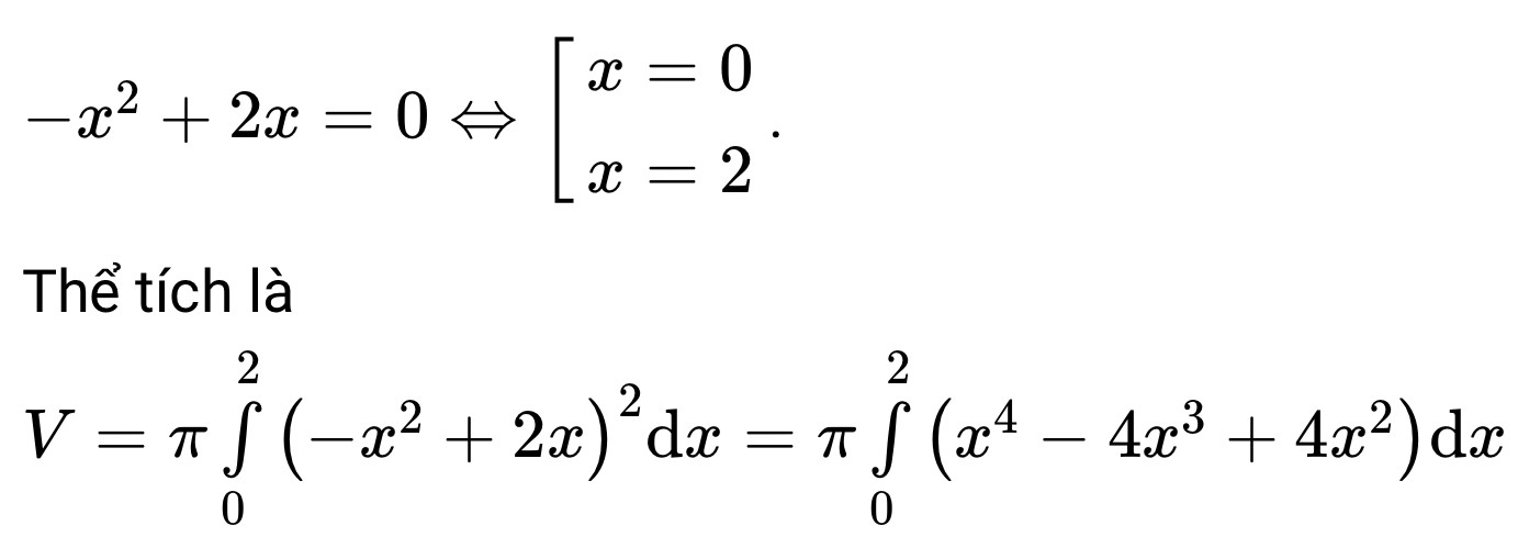
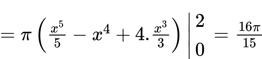
Tính thể tích khối tròn xoay thu được khi quay hình phẳng giới hạn bởi 2 đường y=- +2x và y=o quanh trục õ bằng
Quảng cáo
1 câu trả lời 916
2 năm trước
Phương trình hoành độ giao điểm của đường và đường y=0 là


Quảng cáo
Bạn muốn hỏi bài tập?
Câu hỏi hot cùng chủ đề
-
Hỏi từ APP VIETJACK
Đã trả lời bởi chuyên gia
129637 -
Đã trả lời bởi chuyên gia
104061 -
Đã trả lời bởi chuyên gia
94054 -
Đã trả lời bởi chuyên gia
69272
Gửi báo cáo thành công!

