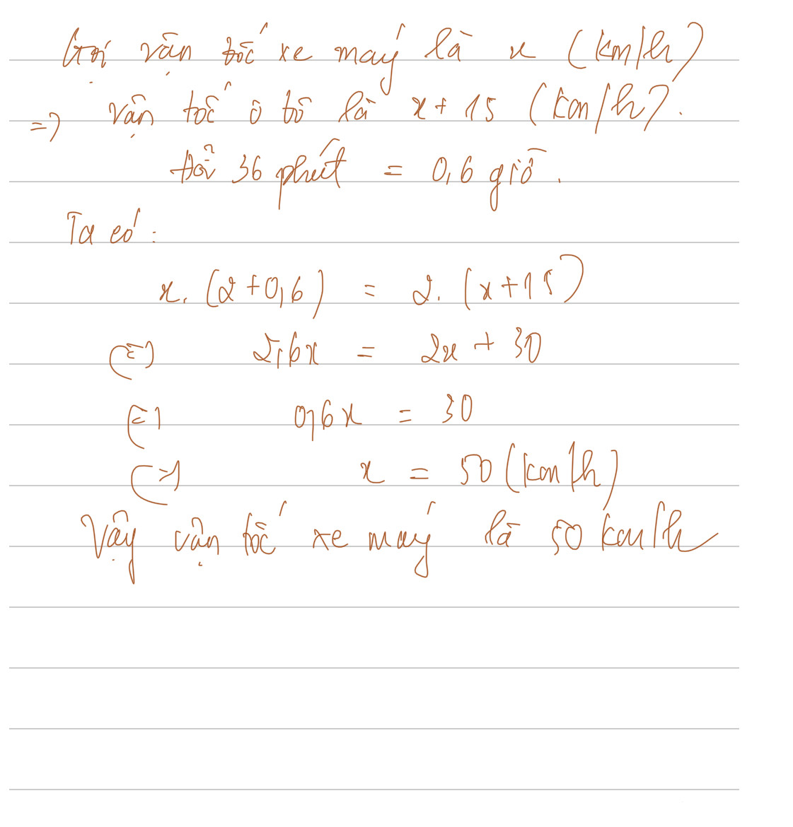
Xe máy và ô tô đi từ 2 vị trí A đến B cách nha 150 km, bt ô tô xuất phát sau xe máy 36 phút và sau 2 h thì gặp xe máy. Tính vận tốc của xe máy, bt vận tốc xe máy ít hơn ô tô là 15 km/h
Quảng cáo
1 câu trả lời 175
Quảng cáo
Bạn cần hỏi gì?
Câu hỏi hot cùng chủ đề
-
107593
-
Hỏi từ APP VIETJACK
Đã trả lời bởi chuyên gia
68300 -
Đã trả lời bởi chuyên gia
52884 -
Đã trả lời bởi chuyên gia
47390 -
Đã trả lời bởi chuyên gia
45461 -
Đã trả lời bởi chuyên gia
45109 -
Hỏi từ APP VIETJACK
Đã trả lời bởi chuyên gia
38488 -
Đã trả lời bởi chuyên gia
38230
Gửi báo cáo thành công!
