Nguyễn Hoàn
Hỏi từ APP VIETJACK
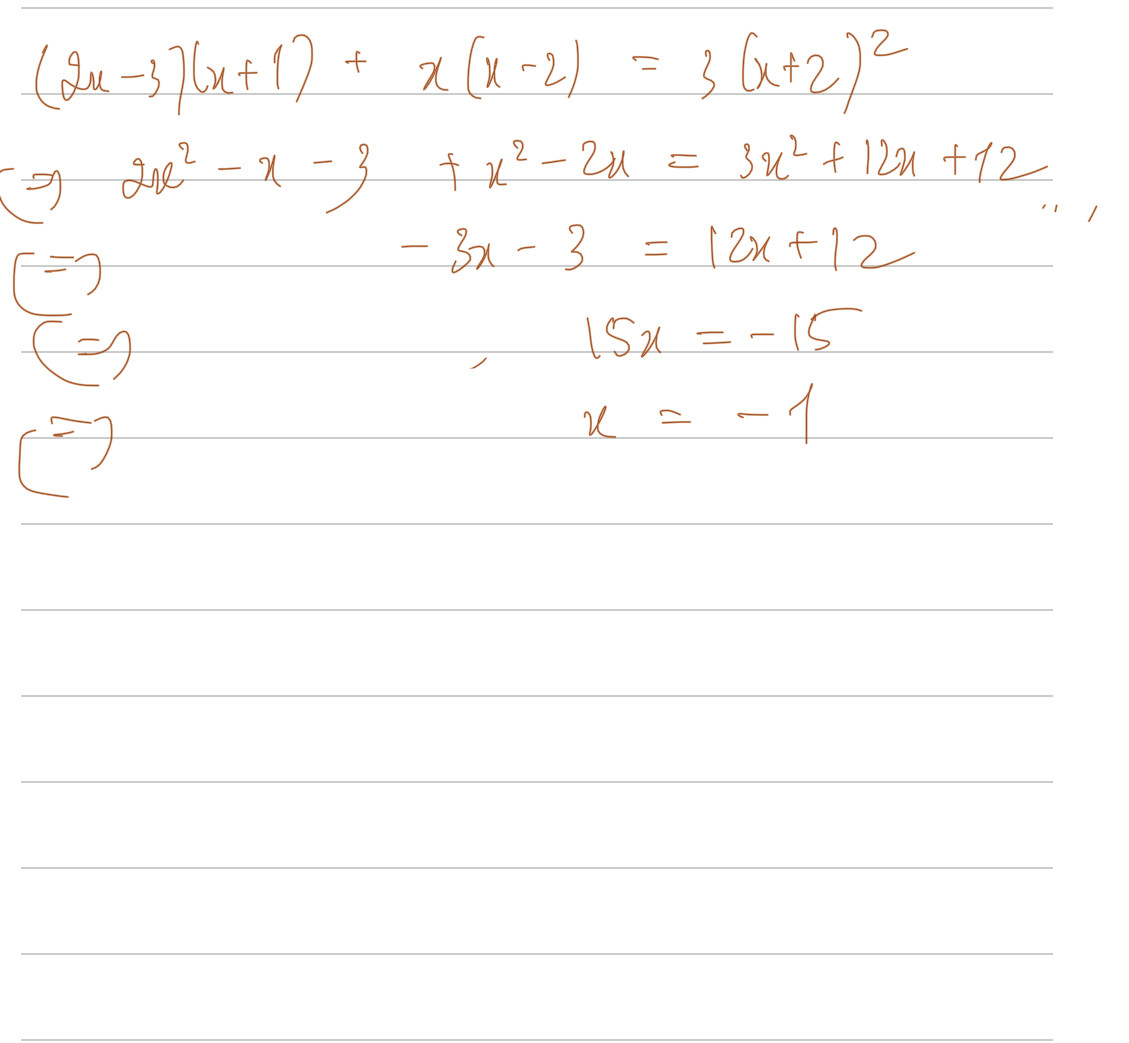
(2x - 3 )(x + 1)+x (x - 2)=3
|X +5|=|3x - 2|
Quảng cáo
1 câu trả lời 169
Quảng cáo
Bạn muốn hỏi bài tập?
Câu hỏi hot cùng chủ đề
-
107278
-
Hỏi từ APP VIETJACK67830
-
44998
-
38171
Gửi báo cáo thành công!
