cao thị tú anh
Hỏi từ APP VIETJACK
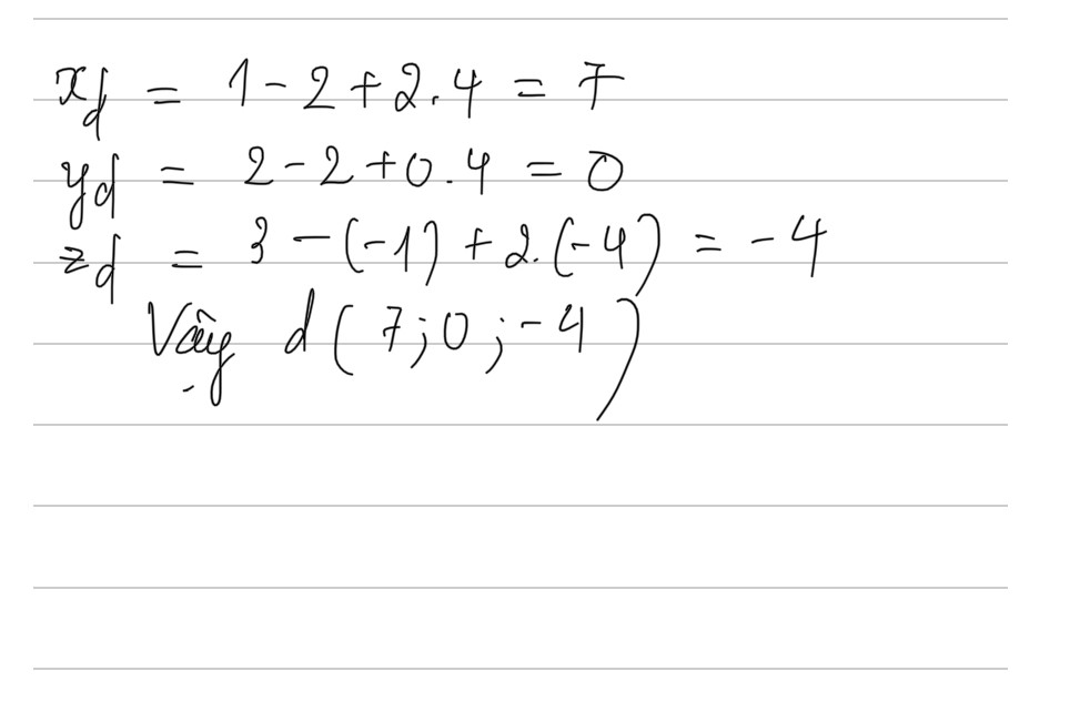
Trong không gian với hệ trục toạ độ Oxyz cho ba vecto a(1;2;3) b(2;2;-1) c(4;0;-4) . Toạ độ của vecto d=a-b+2c là
Quảng cáo
2 câu trả lời 15299
Quảng cáo
Bạn muốn hỏi bài tập?
Câu hỏi hot cùng chủ đề
Gửi báo cáo thành công!

