Hannie Hannie
Hỏi từ APP VIETJACK
Rút gọn và tính giá trị
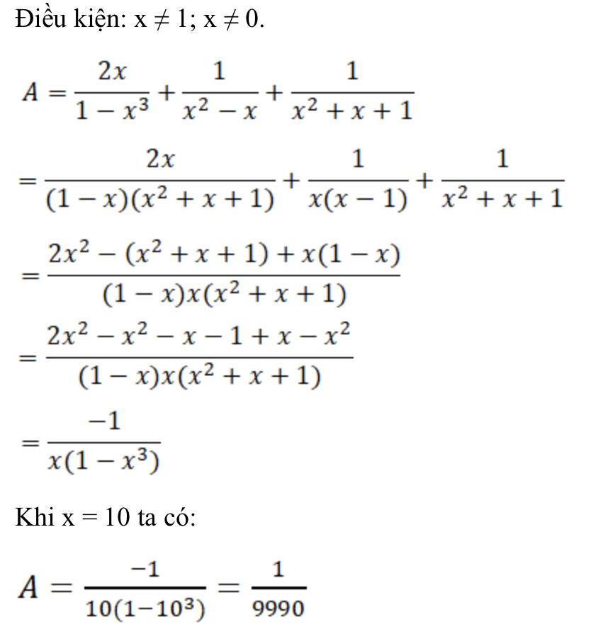
A=2x/1-x³+1/x²-x+1/x²+x+1 khi x=10
A=2x/1-x³+1/x²-x+1/x²+x+1 khi x=10
Quảng cáo
3 câu trả lời 248
Quảng cáo
Bạn muốn hỏi bài tập?
Câu hỏi hot cùng chủ đề
-
107278
-
Hỏi từ APP VIETJACK67830
-
44998
-
38171
Gửi báo cáo thành công!
