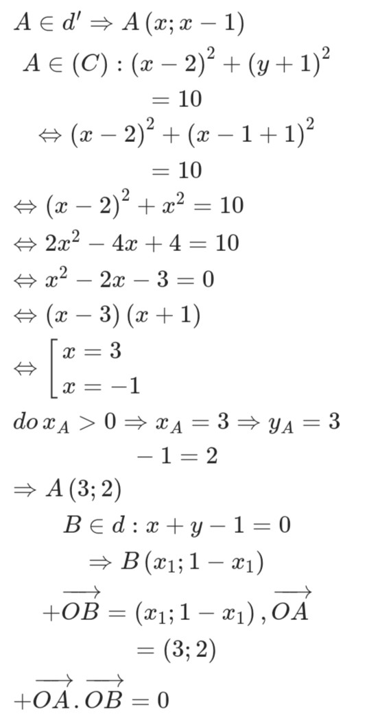
Trong mặt phẳng với hệ tọa độ Oxy, cho tam giác OAB vuông cân tại 0 (0 là gốc tọa độ).
Biết điểm 4 thuộc đường tròn (C): (x-2) +(y+1) = 10, điểm B thuộc đường thẳng (d): x+ y-1=0.
Hãy tìm toa đo điểm A và B biết điểm A có hoành độ dương.
Quảng cáo
2 câu trả lời 260
Quảng cáo
Bạn cần hỏi gì?
Câu hỏi hot cùng chủ đề
-
Hỏi từ APP VIETJACK
Đã trả lời bởi chuyên gia
129637 -
Đã trả lời bởi chuyên gia
104061 -
Đã trả lời bởi chuyên gia
94054 -
Đã trả lời bởi chuyên gia
69272
Gửi báo cáo thành công!




