Nguyễn Băng
Hỏi từ APP VIETJACK
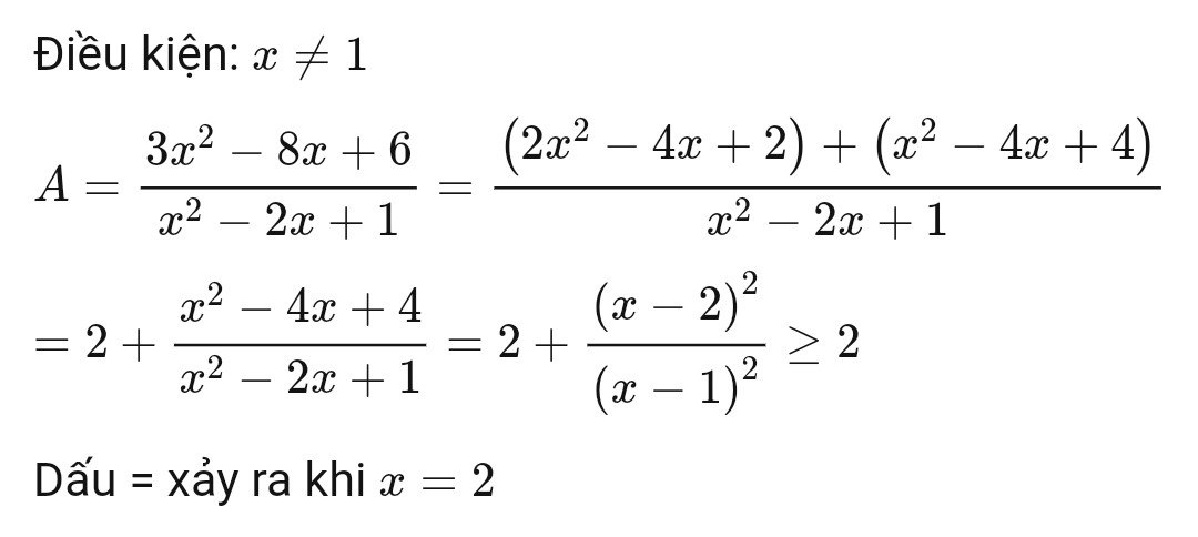
Tìm giá trị nhỏ nhất của phân thức
A= 3x^2 -8x +6 / x^2 -2x +1
A= 3x^2 -8x +6 / x^2 -2x +1
Quảng cáo
1 câu trả lời 423
Quảng cáo
Bạn cần hỏi gì?
Câu hỏi hot cùng chủ đề
-
110774
-
Hỏi từ APP VIETJACK
Đã trả lời bởi chuyên gia
70751 -
Đã trả lời bởi chuyên gia
53671 -
Đã trả lời bởi chuyên gia
48018 -
Đã trả lời bởi chuyên gia
46447 -
Đã trả lời bởi chuyên gia
46204 -
Hỏi từ APP VIETJACK
Đã trả lời bởi chuyên gia
40602 -
Đã trả lời bởi chuyên gia
38881
Gửi báo cáo thành công!

