phong trần
Hỏi từ APP VIETJACK
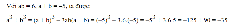
Biết a-b=5 và a×b=-6.Tính a^3+b^3
Quảng cáo
1 câu trả lời 194
Quảng cáo
Bạn cần hỏi gì?
Câu hỏi hot cùng chủ đề
-
112455
-
Hỏi từ APP VIETJACK
Đã trả lời bởi chuyên gia
73067 -
Đã trả lời bởi chuyên gia
54144 -
Đã trả lời bởi chuyên gia
48412 -
Đã trả lời bởi chuyên gia
47377 -
Đã trả lời bởi chuyên gia
46627 -
Hỏi từ APP VIETJACK
Đã trả lời bởi chuyên gia
41318 -
Đã trả lời bởi chuyên gia
39328
Gửi báo cáo thành công!

