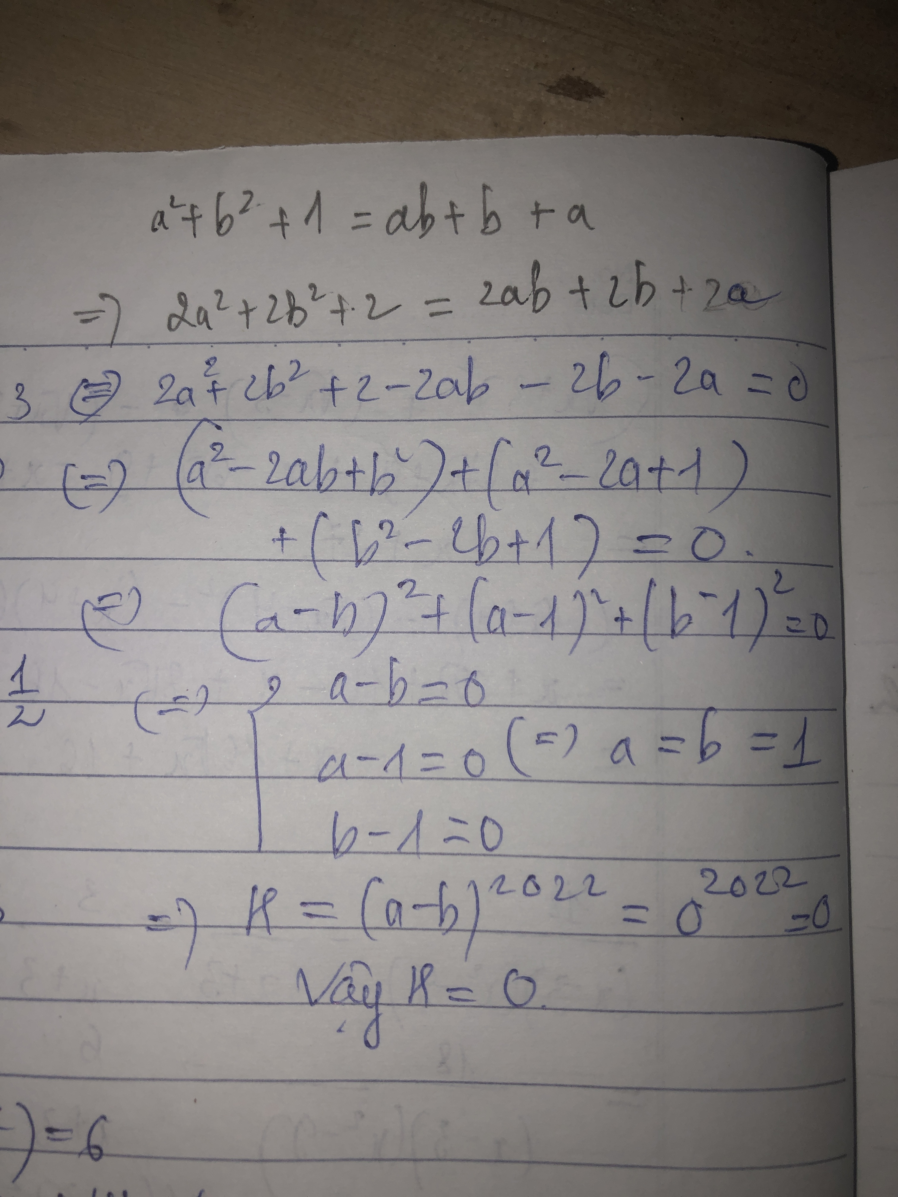
H = ( a-b)^2022 biết a^2+b^2+1=ab+a+b
Quảng cáo
2 câu trả lời 280
3 năm trước
Ta có a^2+b^2+1>=ab+a+b (1)
<=> 2a^2+2b^2+2>=2ab+2a+ab
<=>2a^2+2b^2+2-2ab-2a-2b>=0
<=>(a^2-2ab+b^2)+(a^2-2a+1)+(b^2-2b+1)>=0
<=>(a-b)^2+(a-1)^2+(b-1)^2>=0 luôn đúng
Vây BĐT(1) đúng (đpcm)
Quảng cáo
Bạn muốn hỏi bài tập?
Câu hỏi hot cùng chủ đề
Gửi báo cáo thành công!
