Huyen Nguyen Thanh
Hỏi từ APP VIETJACK
Quảng cáo
3 câu trả lời 184

Huyen Nguyen Thanh
· 3 năm trước
??
☯Lười☯
· 3 năm trước
sao thế ? chơi gì kì vậy (╬▔皿▔)╯(╬▔皿▔)╯
LIIINH
· 3 năm trước
trả lời lại rồi thây, đợi tí
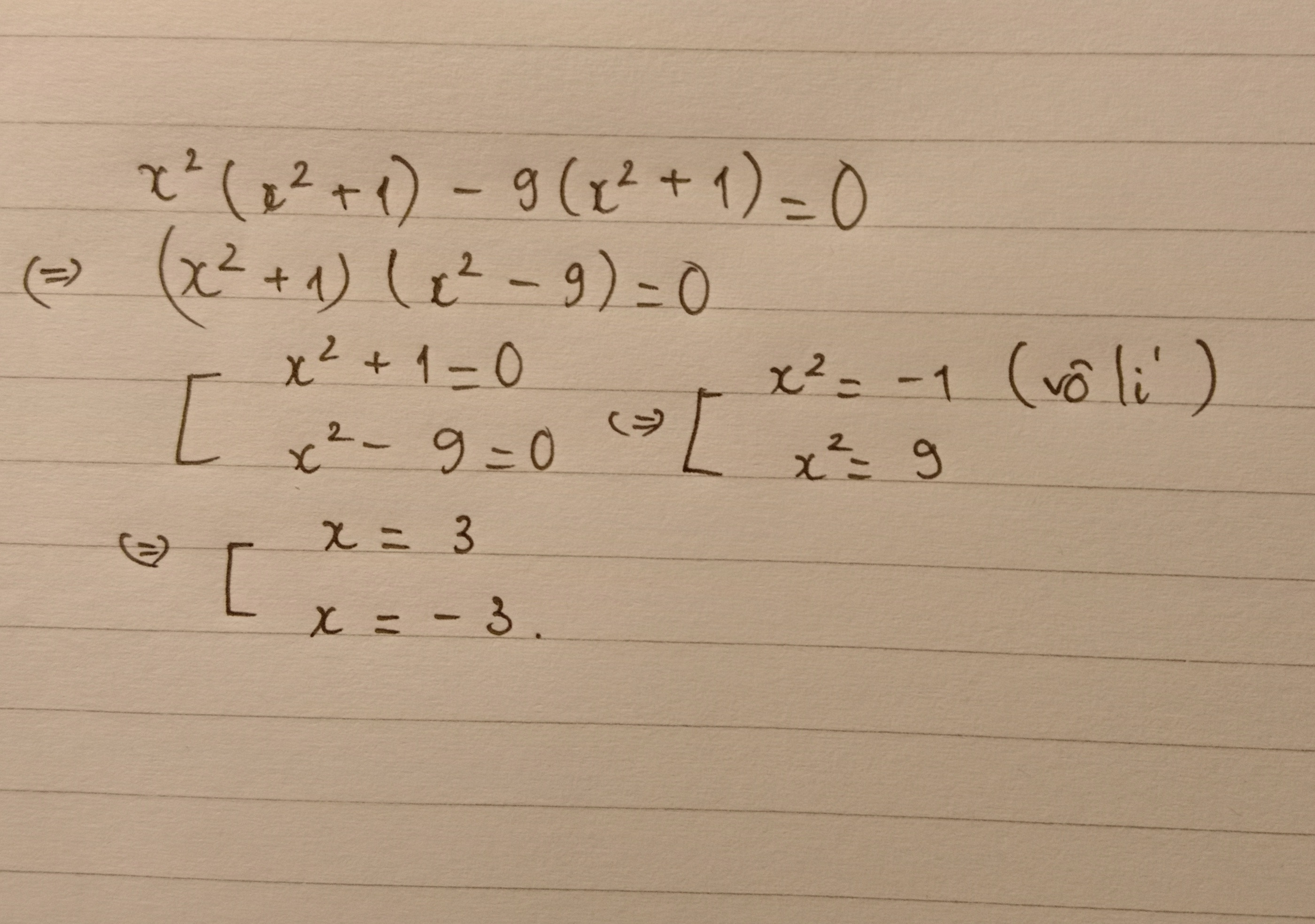
x^2(x^2+1)-9(x^2+1)=0
=>(x^2-9)(x^2+1)=0
(x-3)(x+3)(x^2+1)=0
=>x-3=0 hoặc x+3=0 hoặc x^2+1=0
Còn lại bạn tự kết luận nha
Quảng cáo
Bạn cần hỏi gì?
Câu hỏi hot cùng chủ đề
-
107593
-
Hỏi từ APP VIETJACK
Đã trả lời bởi chuyên gia
68300 -
Đã trả lời bởi chuyên gia
52884 -
Đã trả lời bởi chuyên gia
47390 -
Đã trả lời bởi chuyên gia
45461 -
Đã trả lời bởi chuyên gia
45109 -
Hỏi từ APP VIETJACK
Đã trả lời bởi chuyên gia
38488 -
Đã trả lời bởi chuyên gia
38230
Gửi báo cáo thành công!
