Hau Nguyen
Hỏi từ APP VIETJACK
a) Tìm giá trị biểu thức nhỏ nhất của biểu thức sau: H=|x-3|+|4+x|.
b) Tìm n để biểu thức sau là nguyên p=3n+2/n-2
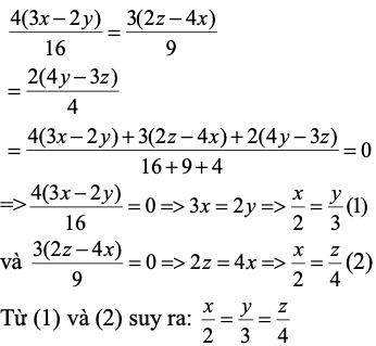
c) Cho 3x-2y/4 = 2z-4x/3=4y-3z. Chứng minh rằng: x/2=y/3=z/4.
b) Tìm n để biểu thức sau là nguyên p=3n+2/n-2
c) Cho 3x-2y/4 = 2z-4x/3=4y-3z. Chứng minh rằng: x/2=y/3=z/4.
Quảng cáo
1 câu trả lời 146
Quảng cáo
Bạn muốn hỏi bài tập?
Câu hỏi hot cùng chủ đề
-
Hỏi từ APP VIETJACK120761
-
81498
-
59515
Gửi báo cáo thành công!


..