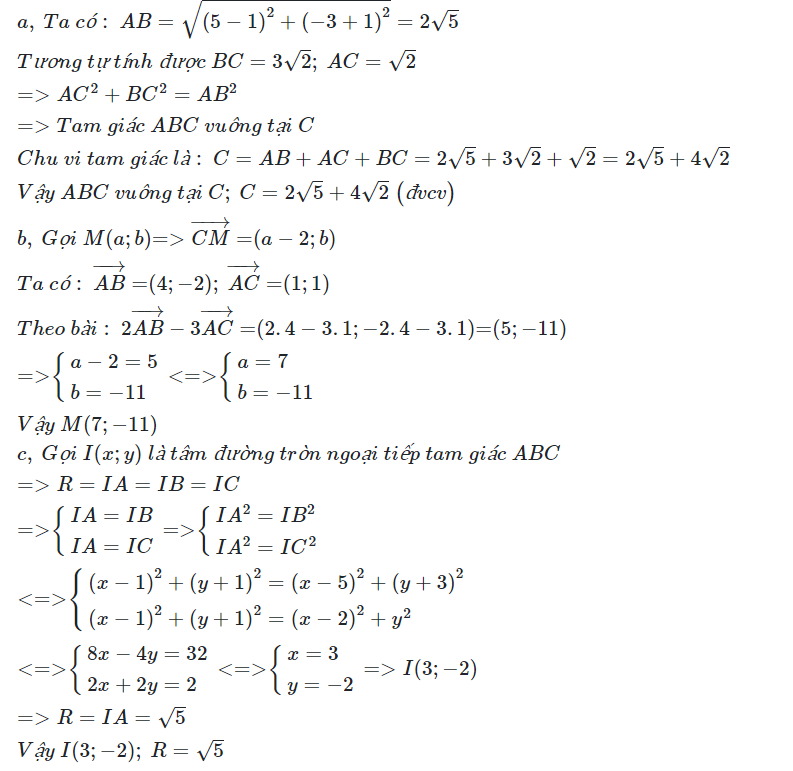
cho tam giác ABC có A(1;-1); B(5;-3); C(2;0)
a. tính chu vi và nhận dạng tam giác ABC
b. tìm toạ độ điểm M biết CM = 2AB -3AC
c. tìm tâm và bán kính đường tròn ngoại tiếp tam giác ABC
a. tính chu vi và nhận dạng tam giác ABC
b. tìm toạ độ điểm M biết CM = 2AB -3AC
c. tìm tâm và bán kính đường tròn ngoại tiếp tam giác ABC
Quảng cáo
1 câu trả lời 5041
Quảng cáo
Bạn cần hỏi gì?
Câu hỏi hot cùng chủ đề
-
Đã trả lời bởi chuyên gia
90495 -
Đã trả lời bởi chuyên gia
60475 -
Hỏi từ APP VIETJACK
Đã trả lời bởi chuyên gia
59779 -
Đã trả lời bởi chuyên gia
51365 -
Hỏi từ APP VIETJACK
Đã trả lời bởi chuyên gia
48884 -
Đã trả lời bởi chuyên gia
39205
Gửi báo cáo thành công!

..