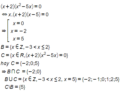
B={x∈Z,-3<x=<2}
C={x∈R,(x+2)(x^2-5x)=0}
Tìm A∩B, A∪B, A\B, A∪(B\C), B∩C, B∪C, A\C, C\B
C={x∈R,(x+2)(x^2-5x)=0}
Tìm A∩B, A∪B, A\B, A∪(B\C), B∩C, B∪C, A\C, C\B
Hoàng Linh
· 4 năm trước
chưa có tập A em ơi
Quảng cáo
1 câu trả lời 145
4 năm trước
Vì đề chỉ có tập B,C nên chỉ tìm những tập chỉ có B và C nhé
Ta có:

Quảng cáo
Bạn cần hỏi gì?
Câu hỏi hot cùng chủ đề
-
Đã trả lời bởi chuyên gia
89037 -
Đã trả lời bởi chuyên gia
59731 -
Hỏi từ APP VIETJACK
Đã trả lời bởi chuyên gia
58851 -
Đã trả lời bởi chuyên gia
50834 -
Hỏi từ APP VIETJACK
Đã trả lời bởi chuyên gia
48266 -
Đã trả lời bởi chuyên gia
38581
Gửi báo cáo thành công!
