Quảng cáo
1 câu trả lời 7078
5 năm trước

Phương Lê
· 5 năm trước
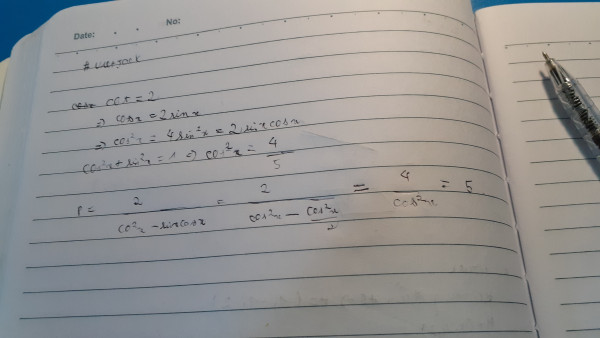
Tại sao cosx = 2sinx a
Nguyễn Tiến Đạt
· 5 năm trước
cotx = cosx/sinx em nhe
Quảng cáo
Bạn cần hỏi gì?
Câu hỏi hot cùng chủ đề
-
Đã trả lời bởi chuyên gia
89037 -
Đã trả lời bởi chuyên gia
59731 -
Hỏi từ APP VIETJACK
Đã trả lời bởi chuyên gia
58851 -
Đã trả lời bởi chuyên gia
50834 -
Hỏi từ APP VIETJACK
Đã trả lời bởi chuyên gia
48266 -
Đã trả lời bởi chuyên gia
38581
Gửi báo cáo thành công!
