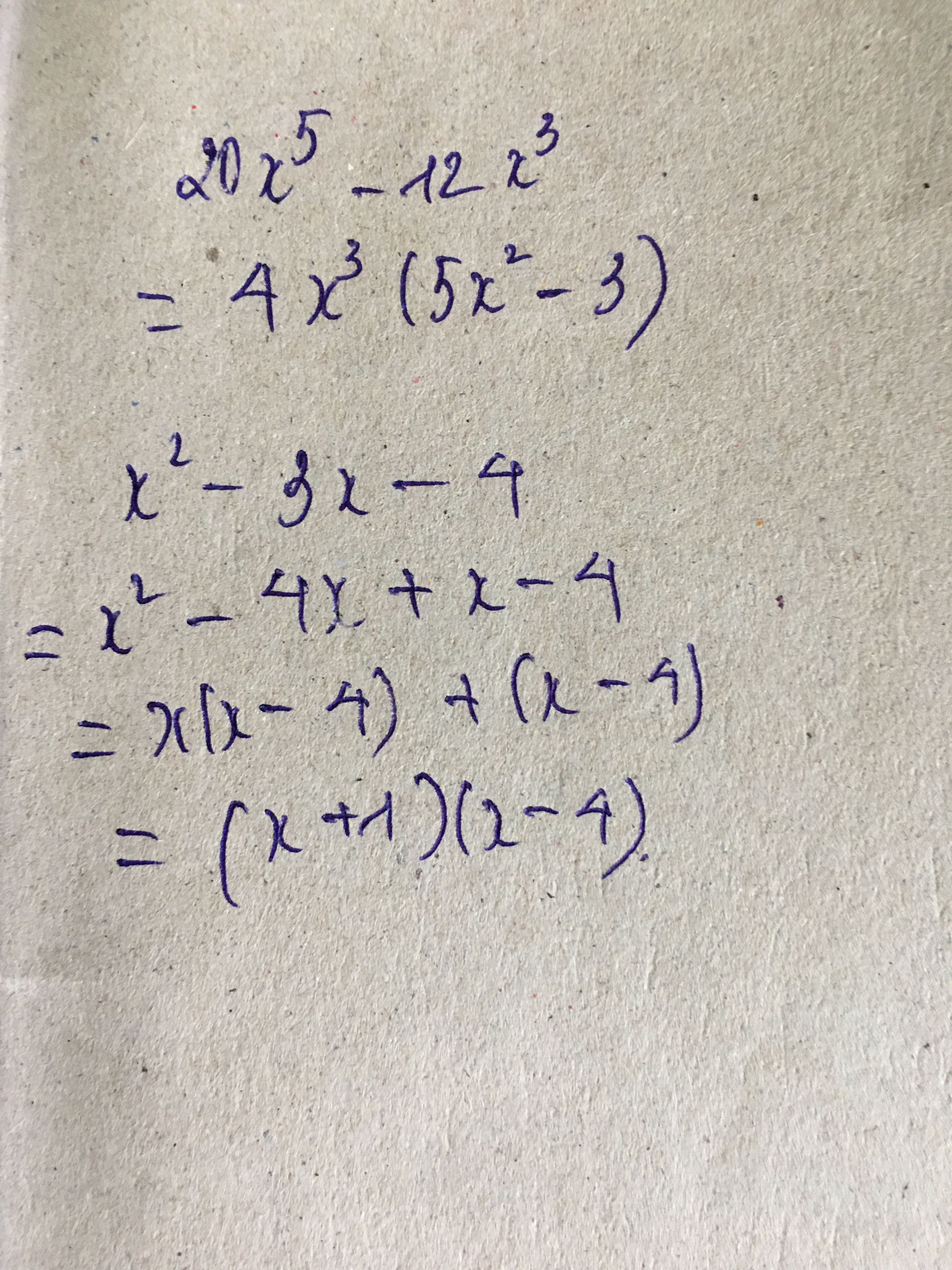
a).20x⁵-12x³
b).x²-3x-4
b).x²-3x-4
Quảng cáo
2 câu trả lời 287
Quảng cáo
Bạn cần hỏi gì?
Câu hỏi hot cùng chủ đề
-
112247
-
Hỏi từ APP VIETJACK
Đã trả lời bởi chuyên gia
72846 -
Đã trả lời bởi chuyên gia
54086 -
Đã trả lời bởi chuyên gia
48368 -
Đã trả lời bởi chuyên gia
47281 -
Đã trả lời bởi chuyên gia
46585 -
Hỏi từ APP VIETJACK
Đã trả lời bởi chuyên gia
41265 -
Đã trả lời bởi chuyên gia
39282
Gửi báo cáo thành công!

