Tìm x:
1.
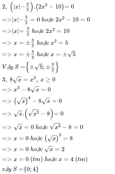
2.
3.
Quảng cáo
1 câu trả lời 269
Bùi Nguyễn Minh Anh
· 4 năm trước
Cảm ơn bn nhé
Quảng cáo
Bạn cần hỏi gì?
Câu hỏi hot cùng chủ đề
-
Hỏi từ APP VIETJACK133927
-
Đã trả lời bởi chuyên gia
84297 -
Đã trả lời bởi chuyên gia
64447 -
Đã trả lời bởi chuyên gia
40870 -
Đã trả lời bởi chuyên gia
38201
Gửi báo cáo thành công!

.