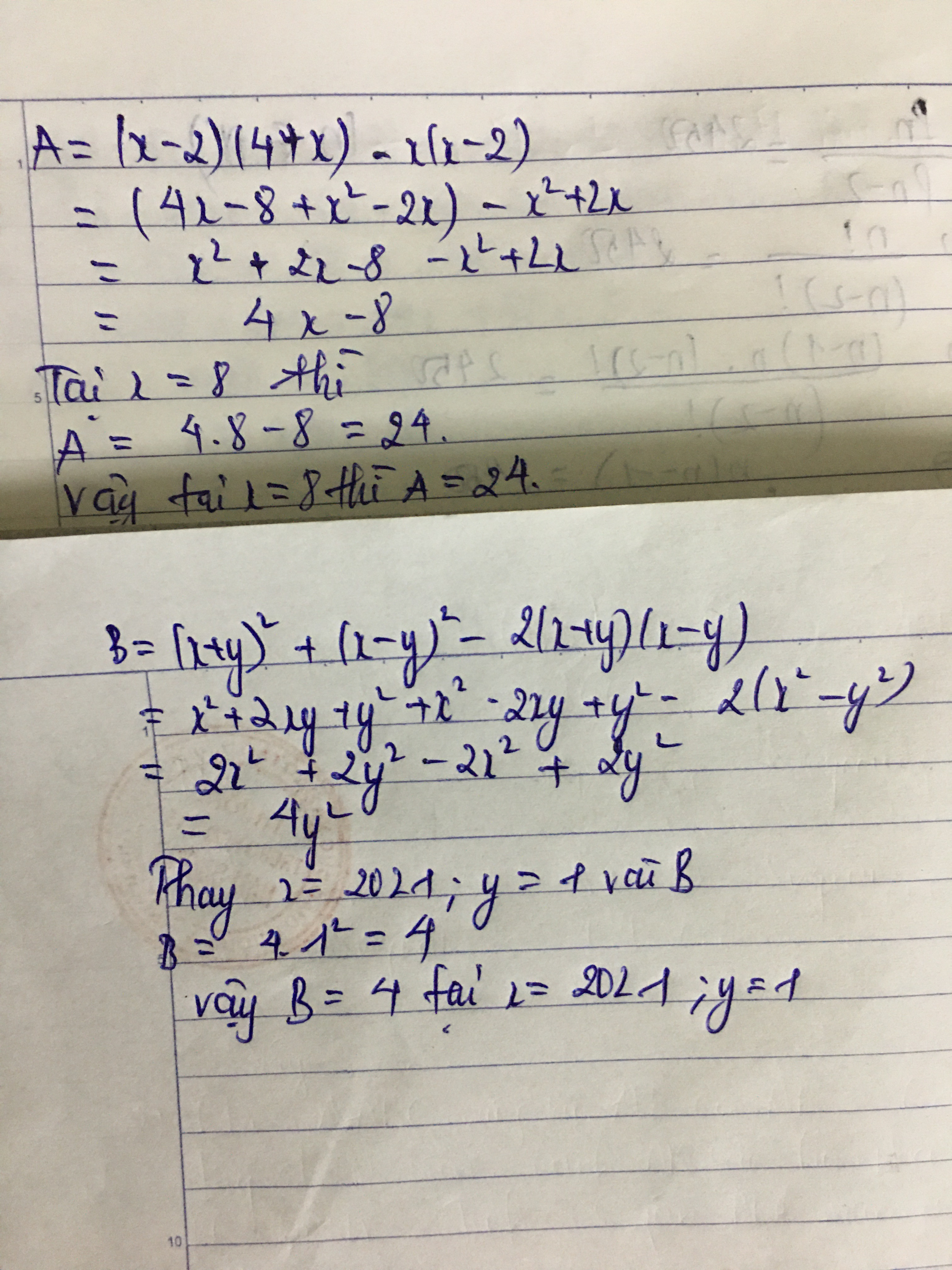
Bài 1: (1,5 điểm). Rút gọn rồi tính giá trị biểu thức
a) A = (x-2) (4 + x) -x (x - 2) tại x = 8
b) B = (x +y)^2 + (z - y)^2 - 2(x+y)(x−y)
tại x = 2021 và y=1
MIK CẦN GẤP GIÚP MIK
Quảng cáo
1 câu trả lời 482
Quảng cáo
Bạn cần hỏi gì?
Câu hỏi hot cùng chủ đề
-
112455
-
Hỏi từ APP VIETJACK
Đã trả lời bởi chuyên gia
73067 -
Đã trả lời bởi chuyên gia
54144 -
Đã trả lời bởi chuyên gia
48412 -
Đã trả lời bởi chuyên gia
47377 -
Đã trả lời bởi chuyên gia
46627 -
Hỏi từ APP VIETJACK
Đã trả lời bởi chuyên gia
41318 -
Đã trả lời bởi chuyên gia
39328
Gửi báo cáo thành công!
