Phân tích đa thức sau thành nhân tử
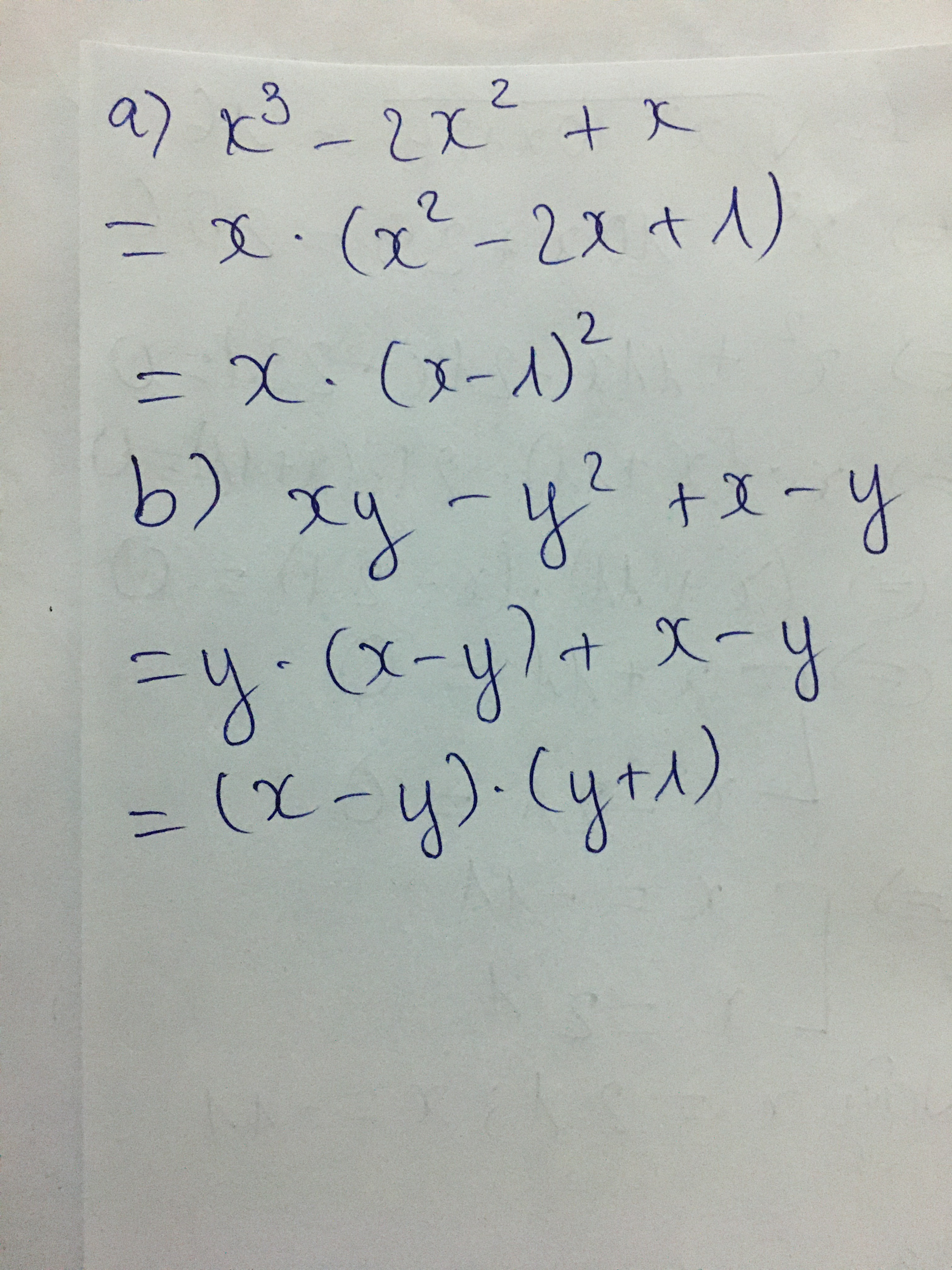
a,x mũ 3 trừ 2 x mũ 2 cộng x
b,x y trừ y mũ 2 cộng x trừ y
a,x mũ 3 trừ 2 x mũ 2 cộng x
b,x y trừ y mũ 2 cộng x trừ y
Quảng cáo
1 câu trả lời 1348
Quảng cáo
Bạn cần hỏi gì?
Câu hỏi hot cùng chủ đề
-
112603
-
Hỏi từ APP VIETJACK
Đã trả lời bởi chuyên gia
73212 -
Đã trả lời bởi chuyên gia
54205 -
Đã trả lời bởi chuyên gia
48459 -
Đã trả lời bởi chuyên gia
47481 -
Đã trả lời bởi chuyên gia
46692 -
Hỏi từ APP VIETJACK
Đã trả lời bởi chuyên gia
41390 -
Đã trả lời bởi chuyên gia
39381
Gửi báo cáo thành công!
