Trung Phạm
Hỏi từ APP VIETJACK
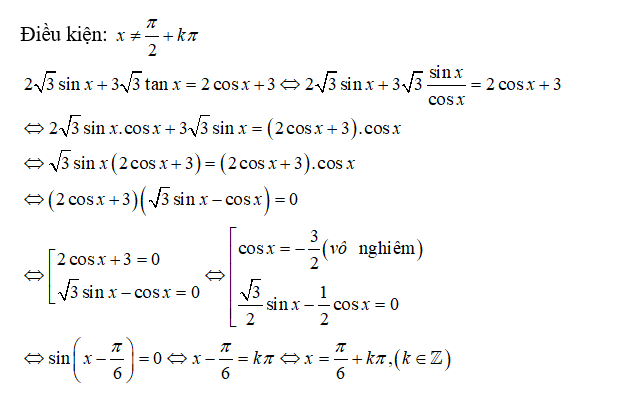
2√3 sinx +3√3 tanx = 2cosx+3
Quảng cáo
1 câu trả lời 2660
Quảng cáo
Bạn muốn hỏi bài tập?
Câu hỏi hot cùng chủ đề
Gửi báo cáo thành công!

