Quảng cáo
2 câu trả lời 14096
Giải phương trình sin3x = sin2x
Phân tích bài toán
Phương trình đã cho là:
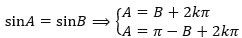
Sử dụng công thức của phương trình lượng giác sinA =sinB, ta có:
![]()
với k
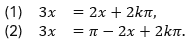
Trong bài toán này, A = 3x và B = 2x. Do đó, ta có hai trường hợp:
![]()
Giải các trường hợp
Trường hợp 1: ![]()
![]()
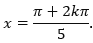
Trường hợp 2: ![]()
Chuyển vế:
![]()
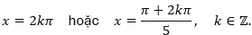
Giải x:
![]()
Kết luận
Kết hợp cả hai trường hợp, nghiệm của phương trình sin3x = sin2x là:
![]()
Giải phương trình sin3x = sin2x
Phân tích bài toán
Phương trình đã cho là:
sin3x = sin2x
Sử dụng công thức của phương trình lượng giác sinA =sinB, ta có:
với k
∈
Z
.
Trong bài toán này, A = 3x và B = 2x. Do đó, ta có hai trường hợp:
Giải các trường hợp
Trường hợp 1:
Trường hợp 2:
Chuyển vế:
Giải x:
Kết luận
Kết hợp cả hai trường hợp, nghiệm của phương trình sin3x = sin2x là:
Quảng cáo
Bạn muốn hỏi bài tập?
